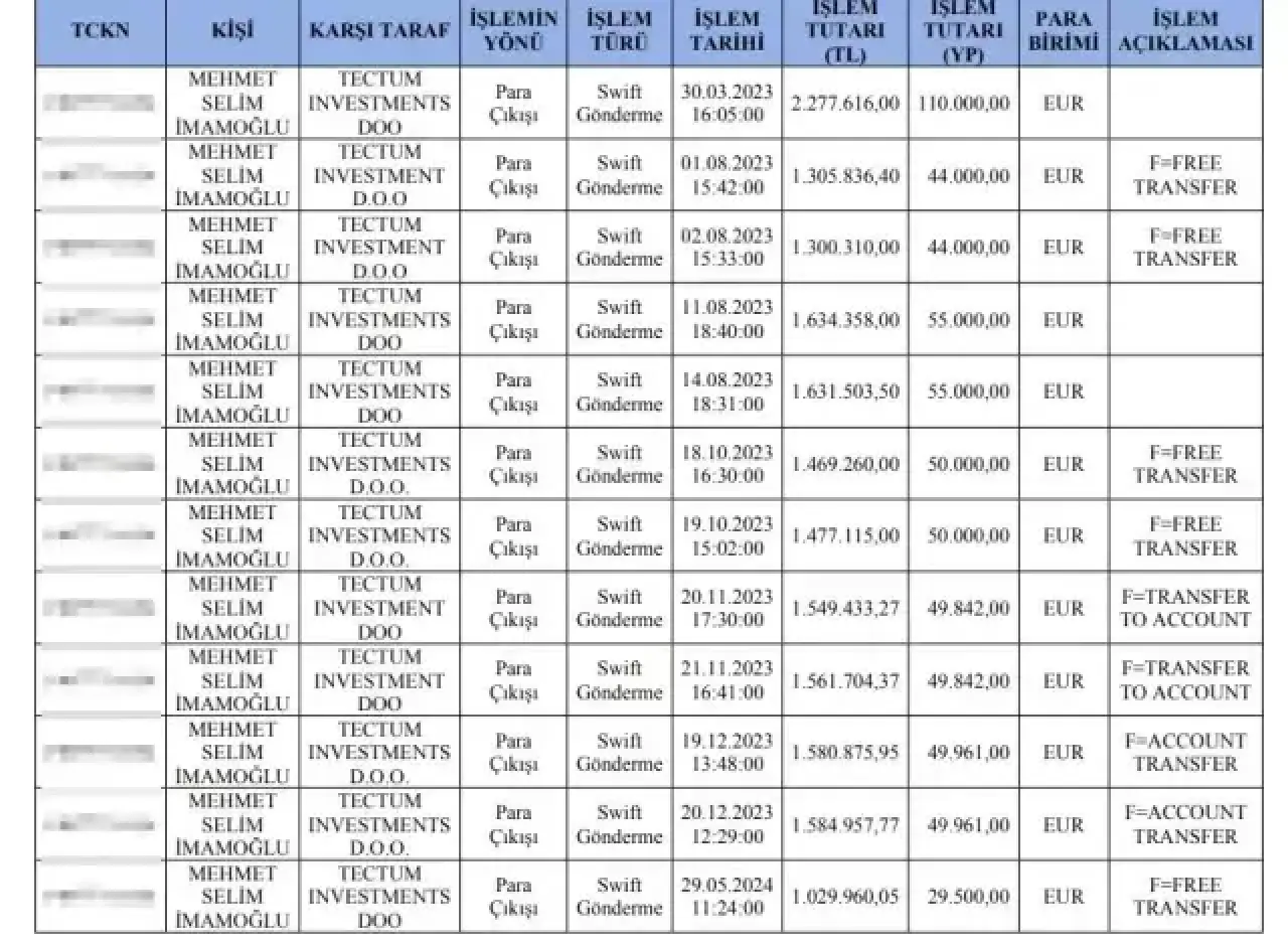
İstanbul Büyükşehir Belediyesi'ne (İBB) ve görevinden uzaklaştırılan tutuklu başkanı Ekrem İmamoğlu'na yönelik yürütülen yolsuzluk soruşturması kapsamında, Mali Suçları Araştırma Kurulu (MASAK) tarafından hazırlanan 181 sayfalık "Aklama Suçuna İlişkin Değerlendirme Raporu"nun detayları kamuoyuna yansıdı. Raporda, İmamoğlu'nun oğlu Mehmet Selim İmamoğlu'nun Hırvatistan'da kurduğu "Tectum Investments D.O.O." adlı şirkete 2023 ve 2024 yıllarında toplam 637 bin 106 Euro tutarında para transferi gerçekleştirdiği ve bu işlemlerin şüpheli bulunduğu belirtildi.
Aile Bireylerinden Gelen Fonlar Mercek Altında
Raporda, Mehmet Selim İmamoğlu'nun söz konusu şirkete aktardığı paraların kaynağının annesi Dilek Kaya İmamoğlu ve dedesi Hasan İmamoğlu olduğu ifade edildi. Bu transferlerin ticari gerçeklik taşımadığı ve paranın yurt dışına çıkarılması işleminin suç gelirinin aklanması kapsamında değerlendirildiği vurgulandı.
Toplam Aklanmış Suç Geliri 63 Milyon Lira ve 25 Taşınmaz
MASAK raporunda, Ekrem İmamoğlu ve yakın çevresinin 2016-2025 yılları arasında toplam 63 milyon 550 bin 151 lira, 637 bin 106 Euro ve 25 adet taşınmazın aklandığı belirtildi. Raporda, İmamoğlu'nun 7 ayrı aklama suçunun faili olduğu ve bu suçların iştirak halinde işlendiği ifade edildi.
Şirket Devirlerinde Usulsüzlükler Tespit Edildi
Raporda, Güllüce Tarımcılık A.Ş.'nin İmamoğlu İnşaat A.Ş.'ye devri sırasında usulsüzlük yapıldığı, şirketin 158 milyon lira değerindeki taşınmaz varlığının 48 milyon lira bedelle devredildiği ve bu işlemin kanunlara aykırı şekilde gerçekleştirildiği ifade edildi. Ayrıca, İmamoğlu İnşaat A.Ş.'nin banka hesaplarına varlık barışı kapsamında kaynağı tespit edilemeyen 35 milyon 220 bin 151 lira nakit yatırıldığı belirtildi.
Lüks Harcamalar ve Muhasebe Hileleri Gündemde
Raporda, İmamoğlu İnşaat A.Ş.'nin satışa sunduğu villalardan birini satın alan kişinin şirketin taşeron elektrik işlerini yaptığı ve satış bedelinin bir kısmının faturalarla gizlendiği tespit edildi. Ayrıca, İmamoğlu İnşaat A.Ş.'nin satışa sunduğu 14 ofisin, şirketler arasında yapılan anlaşmalarla devredildiği, ancak bu satışların ticari ilişkilere uymayan şekilde gerçekleştirildiği ve 2025’te fatura kesilerek muhasebe hileleri yapıldığı kaydedildi.

