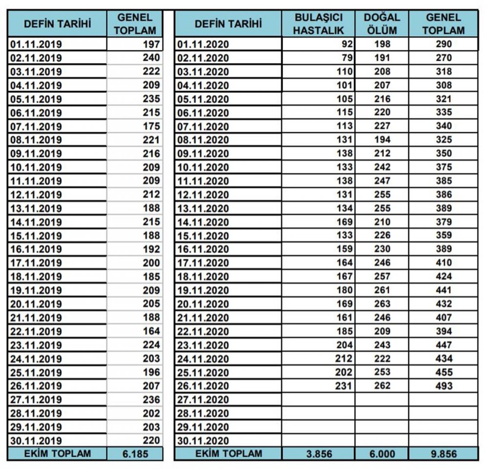
İstanbul'da Mezarlıklar Müdürlüğü'ne göre bugün 493 kişi hayatını kaybetti. Bu vefatların 231'i bulaşıcı hastalıklar nedeniyle oldu.
Sözcü'deki habere göre; Kilyos Mezarlığı’nda yeni defnedilmiş cenazelerin mezarları, Zincirlikuyu Mezarlığı’nda defnedilmeyi bekleyen tabutların ve Alibeyköy Gasilhanesi’nde bekleyen cenazeler ile İstanbul Büyükşehir Belediyesi’nin (İBB) otobüslerinin bagajında taşınan tabutlar da görüntülendi.
İstanbul Büyükşehir Belediye Başkanı Ekrem İmamoğlu, bir süredir İstanbul'da bulaşıcı hastalıktan yaşanan günlük ölümlerin sayısını paylaşıyordu.
İstanbul’daki vefat sayılarında dikkat çeken artış tabloya da yansıdı. 2019 yılına göre bu yıl ölüm sayısında büyük bir fark gözlendi.

